
v3.1: Three-neutrino fit based on data available in November 2017
Menu
- Summary of data included
- Parameter ranges
- Leptonic mixing matrix
- Two-dimensional allowed regions
- One-dimensional χ2 projections
- CP-violation: Jarlskog invariant
- CP-violation: unitarity triangle
- Tension between Solar and KamLAND data
- Synergies: atmospheric mass-squared splitting
- Synergies: determination of Δm23ℓ
- Synergies: determination of θ23
- Synergies: determination of δCP
- Correlation between δCP and other parameters
- Available data files
If you are using these results please refer to JHEP 01 (2017) 087 [arXiv:1611.01514] as well as NuFIT 3.1 (2017), www.nu-fit.org.
![]() |
Three-flavor oscillation parameters from our fit to global data as of November 2017. The numbers in the 1st (2nd) column are obtained assuming NO (IO), i.e., relative to the respective local minimum, whereas in the 3rd column we minimize also with respect to the ordering. Note that Δm23ℓ = Δm231 > 0 for NO and Δm23ℓ = Δm232 < 0 for IO. |
![]() |
3σ CL ranges of the magnitude of the elements of the three-flavor leptonic mixing matrix under the assumption of the matrix U being unitary. The ranges in the different entries of the matrix are correlated due to the fact that, in general, the result of a given experiment restricts a combination of several entries of the matrix, as well as to the constraints imposed by unitarity. As a consequence choosing a specific value for one element further restricts the range of the others. |
Two-dimensional allowed regions
![]() pdf jpg |
Global 3ν oscillation analysis. Each panel shows the two-dimensional projection of the allowed six-dimensional region after marginalization with respect to the undisplayed parameters. The different contours correspond to the two-dimensional allowed regions at 1σ, 90%, 2σ, 99%, 3σ CL (2 dof). Note that as atmospheric mass-squared splitting we use Δm231 for NO and Δm232 for IO. The regions in the lower 4 panels are based on a Δχ2 minimized with respect to the mass ordering. |
One-dimensional χ2 projections
![]() pdf jpg |
Global 3ν oscillation analysis. The red (blue) curves are for Normal (Inverted) Ordering. As atmospheric mass-squared splitting we use Δm231 for NO and Δm232 for IO. |
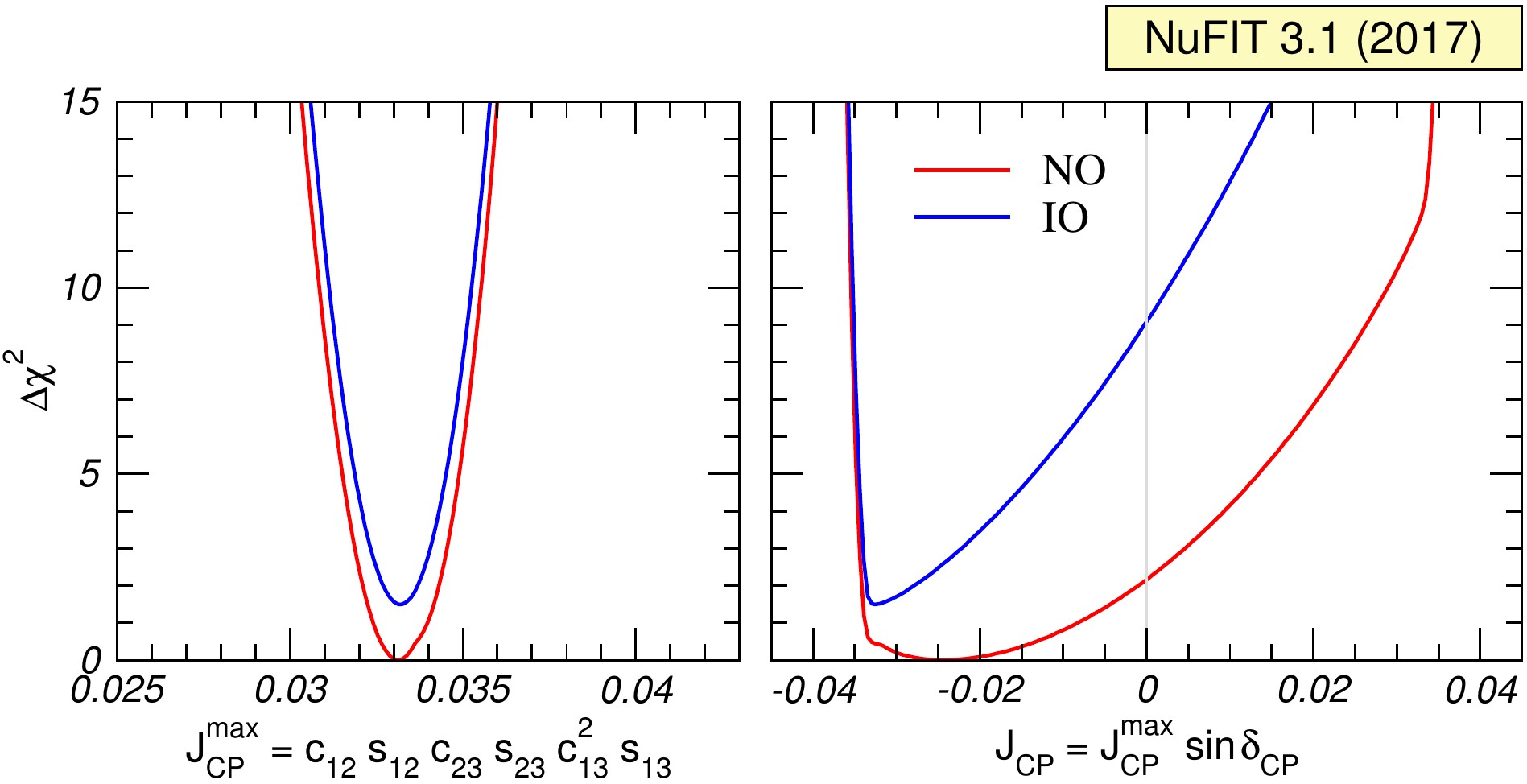
CP-violation: Jarlskog invariant
![]() pdf jpg |
Dependence of Δχ2 on the Jarlskog invariant (right) and its δCP-independent modulus (left). The red (blue) curves are for Normal (Inverted) Ordering. |
CP-violation: unitarity triangle
![]() pdf jpg |
Leptonic unitarity triangle for the first and third columns of the mixing matrix. After scaling and rotating each triangle so that two of its vertices always coincide with (0,0) and (1,0), we plot the 1σ, 90%, 2σ, 99%, 3σ CL (2 dof) allowed regions of the third vertex. The contours for Normal (right) and Inverted (left) ordering are defined with respect to the common global minimum. Note that in the construction of the triangles the unitarity of the U matrix is always explicitly imposed. |
Tension between Solar and KamLAND data
![]() pdf jpg |
Left: Allowed parameter regions (at 1σ, 90%, 2σ, 99%, 3σ CL for 2 dof) from the combined analysis of solar data for GS98 model (full regions with best fit marked by black star) and AGSS09 model (dashed void contours with best fit marked by a white dot), and for the analysis of KamLAND data (solid green contours with best fit marked by a green star) for fixed θ13 = 8.5°. Right: Δχ2 dependence on Δm221 for the same three analysis after marginalizing over θ12. |
Synergies: atmospheric mass-squared splitting
![]() pdf jpg |
Determination of Δm23ℓ at 1σ and 2σ (2 dof), where ℓ = 1 for NO (upper panels) and ℓ = 2 for IO (lower panels). The left panels show regions in the (sin2θ23, Δm23ℓ) plane using both appearance and disappearance data from MINOS (green), NOνA (cyan) and T2K (red), as well as DeepCore atmospheric data (orange) and a combination of them (colored regions). Here a prior on θ13 is included to account for reactor bounds. The right panels show regions in the (sin2θ13, Δm23ℓ) plane using data from Daya-Bay (black), Double-Chooz (magenta), RENO (violet), and their combination (colored regions). In all panels solar and KamLAND data are included to constrain Δm221 and θ12. Contours are defined with respect to the global minimum of the two orderings. |
Synergies: determination of Δm23ℓ
![]() pdf jpg |
Bounds on Δm23ℓ from reactor experiments (black) as well as Minos (green), NOνA (cyan), T2K (red) and all LBL data (blue). Left (right) panels are for IO (NO); for each experiment Δχ2 is defined with respect to the global minimum of the two orderings. The upper panels show the 1-dimensional Δχ2 from LBL accelerator experiments after imposing a prior on θ13 to account for reactor bounds. The lower panels show the corresponding determination when the full information of LBL and reactor experiments is used in the combination. |
Synergies: determination of θ23
![]() pdf jpg |
Bounds on θ23 from Minos (green), NOνA (cyan), T2K (red) and their combination (blue). Left (right) panels are for IO (NO); for each experiment Δχ2 is defined with respect to the global minimum of the two orderings. The upper panels show the 1-dimensional Δχ2 from LBL accelerator experiments after imposing a prior on θ13 to account for reactor bounds. The lower panels show the corresponding determination when the full information of LBL and reactor experiments is used in the combination. |
Synergies: determination of δCP
![]() pdf jpg |
Bounds on δCP from Minos (green), NOνA (cyan), T2K (red) and their combination (blue). Left (right) panels are for IO (NO); for each experiment Δχ2 is defined with respect to the global minimum of the two orderings. The upper panels show the 1-dimensional Δχ2 from LBL accelerator experiments after imposing a prior on θ13 to account for reactor bounds. The lower panels show the corresponding determination when the full information of LBL and reactor experiments is used in the combination. |
Correlation between δCP and other parameters
![]() pdf jpg |
Allowed regions from the global data at 1σ, 90%, 2σ, 99%, 3σ CL (2 dof) after minimizing with respect to all undisplayed parameters. The upper (lower) panel corresponds to IO (NO). Note that as atmospheric mass-squared splitting we use Δm231 for NO and Δm232 for IO. |
»